Welcome to Hemangi Ahir Portfolio

IT/OT/ICS Cybersecurity Specialist | Building AI-Powered Zero-Trust | Protecting Critical Infrastructure

IT/OT/ICS Cybersecurity Specialist with expertise in risk management, vulnerability assessments, and zero-trust architecture. Protecting critical infrastructure and digital assets from cyber threats.

Hemangi Ahir
3+
Years Experience
3
Certifications
Certifications:
  • • CompTIA Security+ (COMP001022455481)
  • • Generative AI: Boost Your Cybersecurity Career – IBM (UX3GIOKJS5L2)
  • • Google Certificate: Introduction to Security Principles in Cloud Computing
  • • Preparing for CEH
4
Polyglot Speaker
Languages:
  • • English
  • • Spanish
  • • Hindi
  • • Gujarati
"The price of freedom is eternal vigilance."
— Attributed to Thomas Jefferson

© 2024 Hemangi Ahir. All original content and case studies are protected. Unauthorized reproduction prohibited.

About Me

Cybersecurity professional with diverse interests

The Security Side

Protecting IT/OT/ICS environments in critical infrastructure. I focus on the details—network diagrams, firewall policies, and tracing packets—because accuracy matters when systems are on the line.

The Learning Side

Forever a student. Teaching myself offensive security, preparing for CEH, and never afraid to say "I don't know... yet." Every problem is a puzzle worth solving.

The Creative Side

Sketching attires and writing a book for self-publishing. Security is part art, part science—that's my philosophy, and creativity keeps my mind sharp.

Why Cybersecurity?

The paradox of emerging tech: incredible promise, but people hesitate because they don't know who to trust. I want to be part of the solution—building systems that aren't just powerful, but genuinely trustworthy. That's what drives me every day.

Education

Academic foundation in cybersecurity and engineering

Master of Science

Spring 2022 – Fall 2023

Information Technology – Cybersecurity

The University of Texas at San Antonio

Bachelor of Science

Summer 2014 – Fall 2019

Industrial Engineering

Universidad Santa Maria La Antigua

Case Studies

Real-world cybersecurity implementations and research

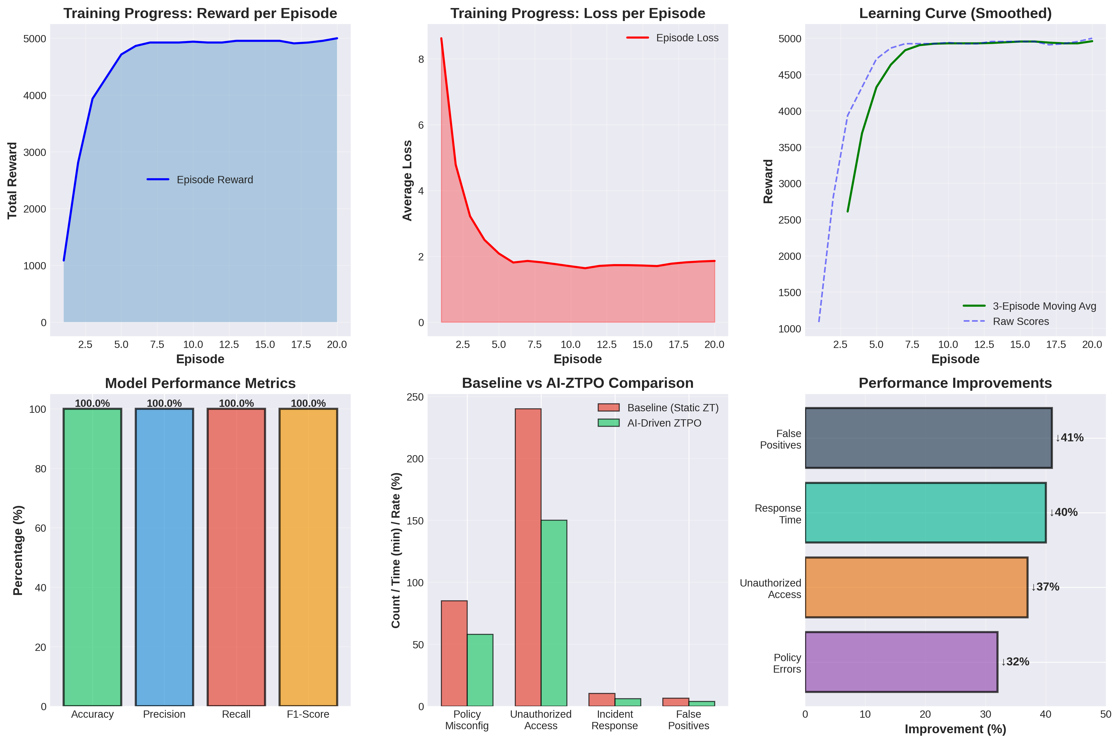
AI-Powered Zero-Trust Policy Engine

Featured Project

Advanced AI-driven zero-trust architecture implementation for dynamic policy enforcement and threat prevention.

View Case Study

Securing a Global IT/OT/ICS Environment at Healthcare Company

Enterprise Implementation

Comprehensive security strategy for protecting critical operational technology infrastructure across global facilities.

View Case Study

Detecting Rogue Hardware in <30 Seconds with Flipper Zero

Hardware Security Lab

Rapid hardware threat detection combining asset visibility with offensive security techniques using Flipper Zero.

View Case Study

© 2024 Hemangi Ahir. All original content and case studies are protected. Unauthorized reproduction prohibited.

Offensive Security Labs

🔬 Active learning environment • Updated as I progress

Ethical Hacking Bootcamp

Udemy • In Progress

Hands-on penetration testing course covering the full attack lifecycle—from reconnaissance to post-exploitation.

What I'm Learning:

Network Attacks

WiFi cracking, MITM, ARP spoofing

Web Exploitation

SQL injection, XSS, file uploads

System Hacking

Metasploit, backdoors, privilege escalation

Social Engineering

Client-side attacks, phishing, BeEF

Kali Linux Metasploit Wireshark Burp Suite Aircrack-ng SQLmap

CEH Preparation Lab

Certified Ethical Hacker • Training

Building a virtualized pentesting lab following EC-Council's CEH curriculum and the 5 phases of ethical hacking.

Lab Focus:

Reconnaissance

OSINT, footprinting, enumeration

Scanning

Nmap, vulnerability assessment

Exploitation

System & web app attacks

Post-Exploitation

Persistence, pivoting, exfiltration

Lab Environment:

  • Kali Linux attack box
  • Metasploitable targets
  • DVWA (Vulnerable web app)
  • Windows Server lab
  • Isolated virtual network

Ethics First: All testing conducted in isolated labs I own. Learning to think like an attacker so I can defend better.

© 2024 Hemangi Ahir. All original content and case studies are protected. Unauthorized reproduction prohibited.

Tools & Frameworks

Security tools and frameworks expertise

Languages

Python HTML

Platforms

Windows Linux Azure Redhat Metasploit

Tools

Cisco Packet Tracer Wireshark Hashcat John the Ripper Orion SolarWinds Panorama Claroty XDome Elisity Sepio Visio Microsoft Project

Frameworks

MITRE ATT&CK NIST ISO 27001 ISO 31000

© 2024 Hemangi Ahir. All original content and case studies are protected. Unauthorized reproduction prohibited.

Blog & Articles

Insights and research on cybersecurity

Why a Simple Power Failure Could Be Your Company's Biggest Cyber Threat

Published in SC Media

Exploring the overlooked cybersecurity risks that emerge during power outages and how organizations can protect their critical infrastructure when the lights go out.

Featured in SC Media's Perspective series

Read on SC Media

More Articles Coming Soon

Stay tuned for more cybersecurity insights, tutorials, and industry analysis.

© 2024 Hemangi Ahir. All original content and case studies are protected. Unauthorized reproduction prohibited.

Get In Touch

Let's connect and discuss cybersecurity

Location

Los Angeles, CA

LinkedIn

View Profile